滴滴曾欲以估值20亿美元收购ofo文件曝光 阿里无一票否决权
原标题:滴滴曾欲以估值20亿美元收购ofo文件曝光 阿里无一票否决权

雷帝网 雷建平 12月23日报道
遭遇用户退押金潮,创始人进入老赖名单的ofo原本有可以挽救的机会。
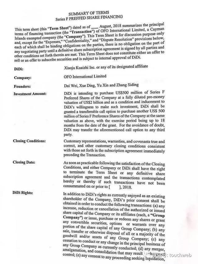
雷帝网获得的信息显示,滴滴曾准备今年8月以20亿美元的估值买入5亿美元的ofo公司F类股票。
滴滴还拥有以同样估值在18个月内再以5亿美元买入ofo公司F类股票的权利。

在滴滴给ofo抛出的收购书中,滴滴利用了一票否决权,不允许ofo与滴滴的竞争对手达成任何联盟合作,或ofo向滴滴的任何竞争对手出售比较多的优先股。

在滴滴设计给ofo的董事会席位上,一共有5席,其中,滴滴将占有2席,1席为ofo管理层所有,剩下的2席交给ofo的其他投资人。

此外,滴滴还要求,ofo的关键岗位人员包括CEO、CFO、COO、CTO和HR负责人的任命、替换或解雇都必须由滴滴决定。
在这个过程中,阿里有意让旗下的哈罗单车与ofo合并,也向ofo递交了几次的并购意向,但滴滴利用了一票否决权,阻拦了这一交易的发生。
阿里并无ofo一票否决权
在戴威成为“老赖”后,腾讯CEO马化腾在朋友圈表示,这是一个veto right(否决权)的问题,但很多人矛头指向了滴滴和阿里。

但当前,阿里并无ofo一票否决权,原因如下:
今年初,阿里入股ofo,而坚持摩拜和ofo合并的ofo投资人、金沙江合伙人朱啸虎看到再持续下去ofo会很危险,希望退出。
阿里看到朱啸虎的态度,又有一票否决权,就想买他的股份和一票否决权。
不过,阿里相关人士表示,阿里并未能获得朱啸虎所有的股份,滴滴利用了优先购买权也购买了其中一部分,因此,阿里并未获得所谓的一票否决权。
这使得在当前ofo的架构中,戴威代表管理团队行使投票权,拥有1票否决权。
滴滴和经纬也拥有一票否决权。但经纬是财务投资人,基本没有使用一票否决权,关键点在于滴滴与戴威。但滴滴与戴威的失和,让ofo危机重重。
从滴滴给ofo的收购文件看,ofo在滴滴面前很弱势。
实际上,双方关系早已趋于不好。当初,滴滴系的付强出任ofo执行总裁,但仅仅4个月时间,戴威就让付强从ofo立刻滚蛋。
与付强一起离开的,还有不少滴滴派驻的老臣,导致双方关系剑拔弩张,此后滴滴推出单车品牌“青桔单车”,收购小蓝单车的运营业务,与ofo直接竞争。
在滴滴给ofo的收购计划中,滴滴还准备帮ofo引入软银投资,金额超过2亿美元,但滴滴的前提是尽可能给ofo杀价。
传闻称,软银派出的尽调团队曾在中关村一家酒店住了好几个月,对ofo完成尽职调查,决定投资,但在滴滴各种花式阻扰下,软银的孙正义最终没有签字。
滴滴一直向外界强调从未阻碍ofo的融资,但事实上是,戴威与滴滴在相互看不顺眼的情况下,相互使用否决权,让ofo白白丧失了机会。
据知情人士透露,随着ofo半年时间情况迅速恶化,用户退押金潮,戴威进入老赖名单,滴滴和阿里都丧失收购ofo的兴趣,如今的ofo正面临垂死挣扎的困境。

摩拜和ofo在2017年都风光一时
摩拜和ofo在2017年都风光一时,但是行业热潮将两位创始人推向了历史的舞台。随着行业归于平静,如今胡玮炜和戴威都要退出舞台。
就在今日,摩拜宣布摩拜创始人胡玮炜辞去CEO职位,由总裁刘禹接任。一位业内人士指出,共享单车终于还是行业巨头的游戏。
版权保护: 本文由 沃派博客-沃派网 编辑,转载请保留链接: http://www.bdice.cn/html/16383.html
